Forme den folgenden Term in einen möglichst einfachen, bruchfreien Term um:

Aufgabe

Umformung in bruchfreie Darstellung - Übung 4

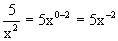
Lösung

Umformung in bruchfreie Darstellung - Lösung für Übung 4

zurück zur Übersicht Potenzgesetze

Lerninhalte zum Thema Potenzen findest du auf dem Lernportal Duden Learnattack.

Mit Duden Learnattack bereiten sich Schüler optimal auf Mathematik Klassenarbeiten vor.

Interessante Lerninhalte für die 10. Klasse: